
Startseite Über uns Veröffentlichungspflichten Impressum Datenschutz
Informationen zur Soforthilfe der Bundesregierung
Unsere Wärmelieferungen unterliegen der AVBFernwärmeV. Danach ergeben sich für die Wärmeversorgung Rügen Veröffentlichungspflichten, denen wir im Folgenden nachkommen.
Der Kunde verpflichtet sich, für die gelieferte Wärme ein Entgelt in Form eines Wärmepreises an den Versorger zu zahlen. Der Wärmepreis setzt sich zusammen aus verbrauchsunabhängigem Jahresleistungspreis (LP) sowie Jahresmesspreis (MP) und dem verbrauchsabhängigen Arbeitspreis (AP). Aufgrund der langen Laufzeiten, die bei Wärmelieferverträgen üblich sind, ändern sich die genannten Preisbestandteile nach sogenannten Preisänderungsformeln. Durch Festlegung der darin enthaltenen Basiswerte, wird eine individuelle Gestaltung der Verträge möglich. Die Vereinbarung zur Wärmelieferung kommt daher in Form eines Individualvertrages zu Stande. In diesem Rahmen kann auch eine andere Entgeltregelung für die Belieferung mit Wärme vereinbart werden. Auf alle Preise wird die zum jeweiligen Zeitpunkt gesetzlich vorgeschriebene Umsatzsteuer erhoben.
Der Leistungspreis soll die Kosten decken, die für die Bereitstellung des Fernwärmeanschlusses entstehen. Er wird pro Kilowatt Anschlussleistung berechnet und einmal jährlich über eine Preisänderungsformel an die aktuelle Kostenentwicklung angepasst.
Der Messpreis beinhaltet die Kosten für die Verbrauchsbestimmung und ist gesondert auszuweisen. In ihm enthalten sind der Wärmemengenzähler, sowie die notwendigen Servicedienstleistungen. Er wird jährlich über eine Preisänderungsformel angepasst.
Der Arbeitspreis soll die laufenden Kosten decken. Er wird in ct/kWh abgerechnet und vierteljährlich über eine Preisänderungsformel angepasst um der aktuellen Kostenentwicklung gerecht zu werden.
Der Emissionspreis in ct/kWh ist in der Entwicklung des Arbeitspreises über unsere Preisformel inbegriffen, wird aber bei der Abrechnung einzeln ausgewiesen.
Die Wärmepreise sind jeweils zum ersten Tag des ersten Monates jedes Quartals auf Grundlage der nachfolgenden Preisänderungsklauseln (Ziffern 1 bis 3) sowie unter Berücksichtigung der unter der Ziffer 4 genannten Formelzeichen und Basiswerte zu ermitteln und automatisch anzupassen.
Die Summanden in Klammern der Preisänderungsklauseln und die Summe werden hierbei auf 6 Nachkommastellen errechnet. Die sich aus der Preisänderung ergebenden neuen Preise werden kaufmännisch auf 2 Nachkommastellen gerundet.
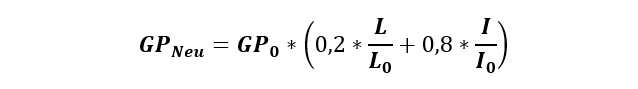
Der neue Jahresleistungspreis wird anhand der nachfolgenden Formel jährlich ermittelt:

Ermittlung des Jahresleistungspreises
Maßgeblich für die Preisermittlung zum 1. Januar eines Jahres ist der Jahresdurchschnittswert der entsprechenden Indizes, des Zeitraumes vom ersten Oktober des Jahres vor dem vorhergehenden Jahr bis zum ersten Oktober des Vorjahres.
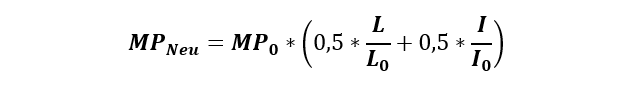
Der neue Jahresmesspreis wird anhand der nachfolgenden Formel jährlich ermittelt:

Ermittlung des Jahresmesspreises
Maßgeblich für die Preisermittlung zum 1. Januar eines Jahres ist der Jahresdurchschnittswert der entsprechenden Indizes, des Zeitraumes vom ersten Oktober des Jahres vor dem vorhergehenden Jahr bis zum ersten Oktober des Vorjahres.
Der neue Arbeitspreis wird anhand der nachfolgenden Formel vierteljährlich ermittelt:

Ermittlung des Quartalsarbeitspreises
GPneu - neuer Jahresleistungspreis in Euro
GP0 - Basisleistungspreis
MPneu - neuer Jahresmesspreis in Euro
MP0 - Basis-Jahresmesspreis
APneu - neuer Arbeitspreis in Eurocent/kWh
AP0 - Basisarbeitspreis
I: Investitionsgüterindex
Index „Investitionsgüter“; arithmetisches Mittel des Jahres (Oktober Vorvorjahr bis einschl. September Vorjahr) abzurufen unter: www-genesis.destatis.de, Code 61241-0004, GP2009 (Sonderpositionen): Gewerbliche Produkte, Position GP-X008.
I0: Basiswert des Investitionsgüterindexes
Der Basiswert des Investitionsgüterindizes beträgt 113,15 und ist das arithmetische Mittel aus den monatlichen Notierungen der Investitionsgüterindizes von 01.2023 bis 12.23 (Basisjahr 2021 = 100)
L: Lohnindex
„Index der tariflichen Monatslöhne in der Energie- u. Wasserversorgung; Entsorgungswirtschaft“ ohne Sonderzahlungen, abzurufen unter: www-genesis.destatis.de , Code "62221-0002", Indizes der Tarifverdienste, Wochenarbeitszeit: Deutschland, Quartale, Wirtschaftszweige. Position „WZ08-D-05 Energie- und Wasserversorgung, Entsorgung u.a.“, Index der tariflichen Monatsverdienste ohne Sonderzahlungen.
L0: Basiswert des Lohnindexes
Der Basiswert des Lohnindexes beträgt im Jahr 2024 105,33 und ist der Durchschnittwert aus den monatlichen Notierungen der Investitionsgüterindizes von 01.2023 bis 12.23 (Basisjahr 2020 = 100)
E: Erdgaskostenindex
Wert, der die reale Kostenentwicklung der Gasbeschaffung der Wärmeversorgung Rügen widerspiegelt. Es handelt sich um den Quotienten aus neuen Gasbeschaffungskosten (aktuelle Preisperiode) und alten Gasbeschaffungskosten (Basis Preisperiode) in ct/kWh. Für das Jahr 2024 beträgt er 1,11. Der Hintergrund dieses besonderen Indikators, liegt in unserer Gaseinkaufsstrategie. Wir kaufen Gas langfristig ein und erzielen damit stabile Preise. Der Index des statistischen Bundesamtes ist aber recht volatil. Um hier eine korrekte Abbildung unserer Kosten zu gewährleisten, haben wir uns entschieden, den Indikator direkt von unseren tatsächlichen Gaskosten abhängig zu machen. So erhöhen wir die Wahrscheinlichkeit, dass unsere Preisänderungsformel sinnvolle Ergebnisse liefert maßgeblich. Nachteil dieser Vorgehensweise ist, dass unsere Kunden den Gaskostenindex nicht öffentlich einsehen können. Daher räumen wir unseren Kunden die Möglichkeit ein, die WVR dazu aufzufordern, die Höhe des Erdgaskostenindexes von einer unabhängigen Wirtschaftsprüferin einmal pro Änderung des Erdgaskostenindex bestätigen zu lassen. Aus Gründen der Geheimhaltung können wir unsere absoluten Gasbeschaffungskosten leider nicht offenlegen.
E0: Basiswert des Erdgaskostenindexes
Der Basiswert des Erdgaskostenindexes beträgt 1,00.
S: Stromkostenindex
Index „Elektrischer Strom bei Abgabe an gewerbliche Anlagen“, abzurufen unter: www-genesis.destatis.de, Code „61241-0006“, Erzeugerpreisindex gewerblicher Produkte: Deutschland, Monate, Güterverzeichnis (GP2009 2-6-Steller Hierarchie), Index GP09-351113.
S0: Basiswert des Stromkostenindexes
Der Basiswert des Stromkostenindexes beträgt im Jahr 2024 146,5 und ist der Durchschnittwert aus den monatlichen Notierungen der Stromkostenindizes von 01.2023 bis 12.2023 (Basisjahr 2020 = 100)
W: Wärmepreisindex
Als Wärmepreisindex werden die veröffentlichten Werte des Verbraucherpreisindexes herangezogen: Deutschland, Monate, Klassifikation der Verwendungszwecke des Individualkonsums (COICOP 2-/3-/4-/5-/10-Steller/Sonderpositionen), Inhalt: Verwendungszwecke d. Individualkonsums, Sonderpositionen, Position CC13-77 Wärmepreisindex (Fernwärme, einschließlich Umlage). Index abzurufen unter: www-genesis.destatis.de , Code "61111-0006"
W0: Basiswert des Wärmeindexes
Der Basiswert des Wärmeindexes beträgt im Jahr 2024 166,39 und ist der Durchschnittwert aus den monatlichen Notierungen der Wärmeindexes von 01.2023 bis 12.2023 (Basisjahr 2020 = 100)
Zum Suchen der Indizes, dem Link www-genesis.destatis.de folgen, den entsprechenden Code in die Suchzeile eingeben und „ENTER“ drücken. Der in der obenstehenden Indexbeschreibung unterstrichene Teil, bezeichnet die Tabelle, die aus den Suchergebnissen durch einen Mausklick ausgewählt werden muss. Anschließend öffnet sich ein Dialog, in dem das Zeitfenster für den Abruf der Indizes eingegeben und die Detailierungstiefe angegeben wird. Durch Klick auf den Button „Werteabruf“, wird die Tabelle geladen. Achten Sie darauf, dass große Tabellen nur als Vorschau geladen werden. Hier muss noch unter Vorschau der Tabelle auf die Schaltfläche „Tabelle vollständig anzeigen“ geklickt werden.
Sofern der zugrunde gelegte Index umbasiert wird, gilt der Index ab dem Tage der Veröffentlichung auf der neuen Basis. Sofern der zugrunde gelegte Index nicht fortgeschrieben wird, gilt ab dem Tage des Wegfalls des ursprünglich vereinbarten Indexes derjenige Index, der den Index ersetzt, oder, wenn der ursprüngliche Index nicht ersetzt wird, derjenige Index, der dem ursprünglichen am nächsten kommt.
Die vereinbarten Preise sind 1 innerhalb von 14 Tagen nach Rechnungsdatum zu bezahlen. Bei Nichtzahlung der Rechnung trotz Fälligkeit ist der Fernwärmeversorger berechtigt, vom Wärmekunden Mahngebühr in Höhe von bis zu 20,00 Euro zu verlangen.
Diese Kosten erfassen folgende Komponenten: Alle Maßnahmen, die zur Unterbindung oder zur Wiederaufnahme der Wärmelieferung notwendig sind, werden nach geleisteten Arbeitsstunden und Maßnahmenbezogenen Materialkosten in Rechnung gestellt. Dabei gelten folgende Stundensätze:
Innerhalb der Geschäftszeiten:50 €/h
Außerhalb der Geschäftszeiten:65 €/h
(montags bis freitags von 20:00 Uhr bis 7:00 Uhr des Folgetages sowie samstags, sonntags und an Feiertagen)
Sollte bei der Wiederherstellung der Wärmeversorgung der Kunde trotz vorheriger Ankündigung nicht anwesend sein, behält sich das Fernwärmeversorgungsunternehmen vor, für zusätzliche Anfahrten die entstehenden Kosten zu verrechnen.
Die folgende Tabelle zeigt die Netzverluste als Differenz aus ins Netz eingespeister Wärme und der aus dem Netz entnommenen Wärme in MWh im Jahr 2022.
| Netzgebiet | Thermische Verluste 2022 | 2022 ins Netz eingespeiste Energie | 2022 aus dem Netz entnommenen Energie |
| Sassnitz Dwasiden | 1901,8 MWh | 11.198 MWh | 9296,2 MWh |
| Sassnitz Rügener Ring | 570,8 MWh | 6305 MWh | 5734,2 MWh |
| Sassnitz Billrothstraße | 194,8 MWh | 949 MWh | 754,2 MWh |
| Sagard | 759,6 MWh | 3930 MWh | 3170,4 MWh |


Startseite Über uns Veröffentlichungspflichten Impressum Datenschutz
Informationen zur Soforthilfe der Bundesregierung